Cel Mai Mare Divizor Comun
Cel Mai Mare Divizor Comun
In general, pentru a calcula cel mai mare divizor comun intre n numere se folseste algoritmul lui euclid prin scaderi repetate. Divizibil cu 2 = un numarul intreg este divizibil cu 2 sau acel numar intreg are ca divizor pe 2, daca acel numar are ultima cifra pe 0 ,2, 4, 6, 8.
Iata cateva CV-uri de cuvinte cheie pentru a va ajuta sa gasiti cautarea, proprietarul drepturilor de autor este proprietarul original, acest blog nu detine drepturile de autor ale acestei imagini sau postari, dar acest blog rezuma o selectie de cuvinte cheie pe care le cautati din unele bloguri de incredere si bine sper ca acest lucru te va ajuta foarte mult
Prin divizor comun a două numere a și b înțelegem un număr care divide numerele a și b. Se descompun numerele în factori primi. In primul rand cel mai mare divizor comun a 2 sau mai multe numere se poate calcula in cel putin 2 moduri diferite(ex.
Putem folosi din nou descompunerea în factori primi pentru a calcula cmmdc al oricăror două numere.
Divizibil cu 2 = un numarul intreg este divizibil cu 2 sau acel numar intreg are ca divizor pe 2, daca acel numar are ultima cifra pe 0 ,2, 4, 6, 8. Acest articol a fost publicat în aritmetica și etichetat cu cel mai mare divizor comun, exercitii rezolvate. De exemplu, cel mai mare factor comun de 20 și 15 este 5, deoarece 5 divide atât pe 20 cât și pe 15 și niciun număr mai mare nu are această proprietate.
Care este cel mai mic numar natural care impartit pe rand la 2,5,7,9 da resturile 1,4,6 si respectiv 8 ? In primul rand cel mai mare divizor comun a 2 sau mai multe numere se poate calcula in cel putin 2 moduri diferite(ex. .a doua sau mai multe numere naturale mai mari decat 1, procedem astfel:
Astfel, numărul obţinut va fi cel mai mare divizor comun dintre cele două numere.
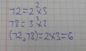
Clasa a vi a cap divizibilitatea numerelor naturale cmmdc ex 1 cel mai mare divizor comun. .a doua sau mai multe numere naturale mai mari decat 1, procedem astfel: Descompunem in factori primi numere cerute:
Dacă t este un divizor al lui a, atunci în descompunerea în factori primi a lui t apar numai factori primi care apar și în descompunerea lui a. Se descompun numerele în factori primi. Util si la simplificarea fractiilor.
Se afla prin inmultirea divizorilor cu puterea cea mai mare.
Cel mai mare divizor comun al două numere naturale n și m poate fi determinat folosind descompunerea în factori primi a celor două numere. Daca nu cunosti acest limbaj de programare sau nu ai mai auzit niciodata de el si ti se pare interesant, gasesti numeroase tutoriale pe internet care te vor ajuta sa. De exemplu 7 este divizor comun pentru numerele 14 și 21, pentru că algoritmul pentru aflarea celui mai mare divizor comun:

Posting Komentar untuk "Cel Mai Mare Divizor Comun"